Алматы қаласы Білім басқармасының
«№17 мектеп-интернаты»
коммуналдық мемлекеттік мекемесі
Қабылдау бөлімі:
+7(727) 387-26-32
Есепші бөлімі:
+7(727) 387-24-75
eOtinish.kz
Нашар көрушілер
нұсқасы
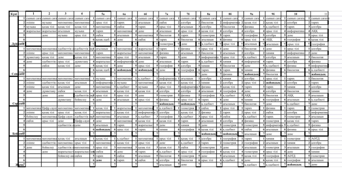
» » » Сабақ кестесі 2025-2026 оқу жылы